Modelos Ambientais¶
A microsimulação Aimsun Next oferece cinco modelos ambientais: o Modelo de Consumo de Combustível, o Modelo de Consumo de Bateria, o Modelo de Emissão de Poluentes QUARTET, o Modelo de Emissão de Poluentes de Panis et al., e o Modelo de Emissões de Londres (LEM). Você pode ativar ou desativar cada um no diálogo de Cenário na guia Saídas a Gerar > Estatísticas (veja abaixo).
Para ativar o Modelo de Consumo de Bateria e o Modelo de Consumo de Combustível, você primeiro precisa marcar Consumo de Energia na caixa do grupo Modelos Ambientais.

Todos os modelos ambientais funcionam de acordo com o tipo de motor. A composição do tipo de motor para um tipo de veículo Aimsun Next pode ser configurada no diálogo do Tipo de Veículo > Modelos Dinâmicos > guia do Motor. O diálogo do Tipo de Veículo também inclui configurações para o Tipo de Motor na guia Modelos Dinâmicos > Modelo de Emissão de Londres e na guia Modelos Microscópicos > Modelos Ambientais.
Os modelos ambientais estão disponíveis para motores a gasolina, diesel e GLP, com a exceção do Modelo de Consumo de Bateria, que está disponível apenas para veículos elétricos. Veículos não motorizados não estão incluídos em nenhum dos modelos ambientais. Nota: Os únicos modelos ambientais que incluem motocicletas são o Modelo de Consumo de Combustível e o Modelo QUARTET.
As seções a seguir explicam como esses modelos funcionam, descrevendo seus requisitos de entrada e os resultados gerados.
Nota: As unidades nos modelos ambientais são métricas.
Modelo de Consumo de Combustível¶
O Modelo de Consumo de Combustível se aplica apenas a veículos com motor de combustão (gasolina, diesel ou GLP). Ele assume que cada veículo está em marcha lenta, navegando a uma velocidade constante, acelerando ou desacelerando. O estado de cada veículo é determinado pelo simulador a cada intervalo de tempo e o modelo utiliza a fórmula apropriada para calcular o combustível consumido para o estado determinado.
Para veículos em marcha lenta e desacelerando, a taxa (em ml/s) pode ser considerada constante. Para um veículo acelerando, é dada pela fórmula:

onde \(c_1\) e \(c_2\) são constantes e a e v são aceleração e velocidade, respectivamente.
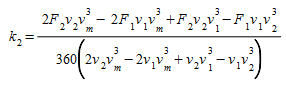
A seguinte equação de consumo de combustível para um veículo navegando a uma velocidade \(v\) foi determinada por Akcelic em 1982. Ela contém três constantes: \(k_1\), \(k_2\) e \(v_m\), que precisam ser determinadas empiricamente para cada tipo de veículo.

\(v_m\) é a velocidade na qual o consumo de combustível por km é mínimo. Normalmente, isso é aproximadamente 50 km/h.
O Departamento de Transporte do Reino Unido em 1994 fornece números de consumo de combustível para todos os novos carros. Entre os números fornecidos estão o consumo de combustível em litros por 100 km, para veículos que viajam a velocidades de 90 km/h e 120 km/h. Esses números podem ser usados para determinar as constantes \(k_1\), \(k_2\) acima.
É fácil mostrar que se \(F_1\) e \(F_2\) são as taxas de consumo de combustível em litros por 100 km/h para um veículo que viaja a uma velocidade constante de \(v_1\), \(v_2\) respectivamente, as equações são:


Para cada intervalo de tempo na simulação, o estado de cada veículo será determinado como marcha lenta, acelerando, navegando a velocidade ou desacelerando. O combustível consumido durante o intervalo de tempo da simulação, \(t\), será então calculado para cada veículo de acordo com seu estado utilizando as fórmulas fornecidas na tabela abaixo, onde \(F_i\) e \(F_d\) são a taxa de consumo de combustível em ml/s para veículos em marcha lenta e desacelerando, respectivamente, e constantes que precisam ser calibradas.
| Estado do veículo | Combustível consumido (ml) durante t |
|---|---|
| Em marcha lenta | \(F_i\) Δ \(t\) |
| Acelerando com aceleração de \(a\) (m/s/s) e velocidade \(v\) (m/s) | (\(c_1\) + \(c_2av\)) Δ \(t\) |
| Navegando a uma velocidade \(v\) (m/s) | ![]() |
| Desacelerando | \(F_d\) Δ \(t\) |
Parâmetros de Entrada¶
Todas as configurações particulares do Modelo de Consumo de Combustível podem ser encontradas na guia de Consumo de Energia dos tipos de motor de combustão. Para cada tipo de veículo, os seguintes seis parâmetros adicionais especificam as taxas de consumo de combustível do veículo e precisam ser especificados no diálogo do Tipo de Veículo na guia Modelos Microscópicos > Modelos Ambientais:
-
\(F_i\): A taxa de consumo de combustível para veículos em marcha lenta em ml/s.
-
\(C_1\) e \(C_2\) : As duas constantes na equação para a taxa de consumo de combustível para veículos acelerando, em ml/s e em ml s2/m2.
-
\(F_1\): A taxa de consumo de combustível, em litros por 100 km, para veículos que viajam a uma velocidade constante de 90 km/h.
-
\(F_2\): A taxa de consumo de combustível, em litros por 100 km, para veículos que viajam a uma velocidade constante de 120 km/h.
-
\(F_d\): A taxa de consumo de combustível para veículos desacelerando em ml/s.
-
\(V_m\): A velocidade na qual a taxa de consumo de combustível, em ml/s, é mínima para um veículo navegando a uma velocidade constante.

Os seguintes são valores de exemplo desses parâmetros de entrada, retirados de Ferreira 1982 e do Departamento de Transporte do Reino Unido 1994.
Os valores de referência no estudo são calibrados apenas para veículos: A taxa de consumo de combustível para veículos em marcha lenta (Fi) é 0.333 ml/s, e na equação para as taxas de consumo de combustível para veículos acelerando (C1;C2) são 0.420 ml/s e 0.260 ml s2/m2. A taxa de consumo de combustível para veículos desacelerando (Fd) é 0.537 ml/s. As taxas de consumo de combustível para veículos navegando são as seguintes:
Mini/Carro Pequeno (A/B):
\(F_1\) = 4.7 (1/100km a 90 km/h)
\(F_2\) = 5.5 (l/100km a 120 km/h)
\(V_m\) = 50 km/h
Carro Médio/Grande (C/D):
\(F_1\) = 5.4 (l/100km a 90 km/h)
\(F_2\) = 6.5 (l/100km a 120 km/h)
\(V_m\) = 60 km/h
Carros Executivos/SUVs (E/F/J):
\(F_1\) = 6.4 (l/100km a 90 km/h)
\(F_2\) = 8.4 (l/100km a 120 km/h)
\(V_m\) = 70 km/h
Carros Multiuso/Furgões de Carga/Vans de Passageiros Pequenas (M):
\(F_1\) = 7 (l/100km a 90 km/h)
\(F_2\) = 11.5 (l/100km a 120 km/h)
\(V_m\) = 50 km/h
Ônibus:
\(F_1\) = 25.0 (l/100km a 90 km/h)
\(F_2\) = 22.0 (l/100km a 120 km/h)
\(V_m\) = 40 km/h
Caminhões:
\(F_1\) = 15–25 (l/100km a 90 km/h)
\(F_2\) = 16–24 (l/100km a 120 km/h)
\(V_m\) = 50 km/h
Motocicletas:
\(F_1\) = 2.8–4.8 (1/100km a 90 km/h)
\(F_2\) = 3.2–5.7 (l/100km a 120 km/h)
\(V_m\) = 50 km/h
Também incluímos valores de navegação para ônibus e caminhões, mas observe que as outras taxas devem ser coletadas da literatura atual.
Saídas¶
As saídas produzidas pelo Modelo de Consumo de Combustível em diferentes níveis de agregação são as seguintes:
-
Para toda a rede, a distância total percorrida (em km) por todos os veículos que concluíram sua viagem, e o total de combustível consumido por eles, em litros.
-
Para cada seção e curva, os quilômetros percorridos por todos os veículos que cruzaram a seção, e o total de combustível consumido por eles, em litros.
-
Para cada rota, a distância total percorrida (em km) por todos os veículos que seguiram a rota, e o total de combustível consumido por eles, em litros.
Modelo de Consumo de Bateria¶
O Modelo de Consumo de Bateria se aplica apenas a veículos elétricos. Ele é baseado no seguinte artigo:
Fiori, C., Ahn, K., & Rakha, H. A. (2016). Modelo de consumo de energia para veículos elétricos baseado em potência: Desenvolvimento e validação do modelo. Applied Energy, 168, 257-268.
O modelo foi configurado utilizando dados disponíveis publicamente para o Nissan Leaf. No entanto, o modelo incluído no Aimsun Next foi expandido para cobrir outros tipos de veículos, seguindo os mesmos perfis de veículos (por segmentos de carros da Euro) no modelo de aceleração MFC.
O único tipo de veículo atualmente suportado é Carro e o Aimsun Next segue os Segmentos de Carros da Euro: A, B, C, D, E, F, J e M. O modelo depende da dinâmica do veículo, o que significa que o modelo MFC deve ser ativado primeiro para que o Modelo de Consumo de Bateria seja aplicado a veículos elétricos.
O Modelo de Consumo de Bateria utiliza uma abordagem retrospectiva: do ciclo de velocidade do veículo para a dinâmica do motor por meio do modelo de aceleração MFC. Dessa maneira, ele obtém a potência do motor/gerador do motor para obter o estado instantâneo de carga (SOC).
Ele também considera a eficiência dos diferentes processos envolvidos na operação do veículo: o motor/gerador, a frenagem regenerativa e a transmissão, conforme descrito no artigo.
O modelo implementado inclui uma extensão do modelo de Fiori et al. para capturar o efeito da temperatura ambiente (na faixa de -15°C a 20°C), devido ao consequente consumo adicional de energia necessário para aquecer (ou resfriar) a cabine do veículo, que é descrito no seguinte artigo:
Iora, Paolo & Tribioli, Laura. (2019). Efeito da Temperatura Ambiente no Consumo de Energia e Alcance dos Veículos Elétricos: Definição do Modelo e Análise de Sensibilidade com Base em Dados do Nissan Leaf. World Electr. Veh. J. 2019, 10(1), 2..
O modelo é representado pelo diagrama abaixo. Existem dois modos de operação do veículo: motorização, onde o motor é utilizado como um motor (a energia da bateria flui para alimentar as rodas) e frenagem regenerativa, onde o motor é utilizado como um gerador (a energia recuperada dos freios flui para a bateria). A imagem ilustra ambos os modos em funcionamento.

Entradas¶
Você pode encontrar todas as configurações particulares do Modelo de Consumo de Bateria no diálogo do Tipo de Veículo > Modelo Microscópico > Modelos Ambientais > guia do Modelo de Consumo de Energia.

Porque este modelo depende fortemente dos parâmetros do modelo de aceleração MFC – especificados no nível do tipo de veículo – a categoria do veículo e a composição do tipo de motor são escolhas cruciais ao executar este modelo.
O diálogo do Tipo de Veículo também inclui um parâmetro para o Nível Inicial de Energia (SOC ou Combustível) de cada veículo, utilizando distribuição normal, conforme é o caso com outros parâmetros do tipo de veículo. Você pode editar diretamente os valores para Média, Desvio, Mínimo e Máximo.
Saídas¶
As saídas produzidas pelo Modelo de Consumo de Bateria em diferentes níveis de agregação são as seguintes:
-
Para toda a rede, a distância total percorrida (km) por todos os veículos que concluíram sua viagem, e a quantidade total de bateria consumida por eles (kWh).
-
Para cada seção e curva, os quilômetros percorridos por todos os veículos que cruzaram a seção, curva ou link, e a bateria total consumida por eles (kWh).
-
Para cada rota, a distância total percorrida (km) por todos os veículos que seguiram a rota, e a quantidade total de bateria consumida por eles (kWh).
Ao usar um modelo de consumo de energia para um veículo, o diálogo do Veículo Simulado exibe os seguintes atributos na guia Atributos Dinâmicos:
- Estado Atual do Combustível/Estado Atual de Carga
- Nível Atual de Combustível/Nível Atual de Energia
- Total de Combustível Consumido/Energia Total Consumida.

Modelo de Emissão de Poluentes QUARTET¶
Aimsun Next pode modelar emissões de poluentes para todos os veículos na simulação. Assim como no Modelo de Consumo de Combustível, o estado do veículo (em marcha lenta, navegando, acelerando ou desacelerando) e a velocidade/aceleração do veículo são usados para avaliar a emissão de cada veículo para cada intervalo de tempo da simulação.
Isso é feito através da referência a tabelas de consulta para cada poluente, que fornecem emissões (em g/s) para cada combinação relevante de comportamento do veículo e velocidade/aceleração. Existem diferentes conjuntos de tabelas de consulta para cada tipo de veículo e cada poluente.
Atualmente, um máximo de três poluentes são considerados, correspondendo aos três poluentes mais amplamente produzidos (monóxido de carbono, óxidos de nitrogênio e hidrocarbonetos não queimados), mas podemos ser capazes de modelar poluentes adicionais quando e se dados extras se tornarem disponíveis.
Parâmetros de Entrada¶
As entradas necessárias para o Modelo de Emissão de Poluentes QUARTET são as seguintes:
-
Para cada tipo de veículo (por exemplo, carros, ônibus, caminhões)
-
Para cada poluente modelado (ou seja, CO, NOx, HC)
-
Nome do poluente
-
Taxa de emissão para veículos acelerando em g/s (parâmetro AER no diálogo)
-
Taxa de emissão para veículos desacelerando em g/s (parâmetro DER no diálogo)
-
Taxa de emissão para veículos em marcha lenta em g/s (parâmetro IER no diálogo)
-
Uma tabela de consulta para veículos navegando a uma velocidade constante, consistindo em um conjunto de pares (ponto de quebra de velocidade (km/h), taxa de emissão (g/s)) para um máximo de 15 pontos de quebra.
-
Uma tabela de consulta para o impacto da inclinação na poluição, consistindo em um conjunto de trios (ponto de quebra de velocidade (km/h), Inclinação %, Impacto). Dependendo da velocidade do veículo e da inclinação %, a poluição será multiplicada pelo impacto.
-
-

Os valores de emissão para carros a gasolina e ônibus, retirados de uma entrega QUARTET em 1992, estão resumidos nas próximas duas tabelas.
| Taxas de emissão para carros (g/s) | CO | NOx | HC |
|---|---|---|---|
| Taxa de emissão em marcha lenta (g/s) | 0.060 | 0.0008 | 0.0067 |
| Taxa de emissão ao acelerar (g/s) | 0.377 | 0.0100 | 0.0200 |
| Taxa de emissão ao desacelerar (g/s) | 0.072 | 0.0005 | 0.0067 |
| Taxa de emissão em velocidade constante (g/s) | |||
| 10 km/h | 0.060 | 0.0006 | 0.0063 |
| 20 km/h | 0.091 | 0.0006 | 0.0078 |
| 30 km/h | 0.130 | 0.0017 | 0.0083 |
| 40 km/h | 0.129 | 0.0022 | 0.0128 |
| 50 km/h | 0.090 | 0.0042 | 0.0097 |
| 60 km/h | 0.110 | 0.0050 | 0.0117 |
| 70 km/h | 0.177 | 0.0058 | 0.0136 |
| Taxas de emissão para ônibus (g/s) | CO | NOx | HC |
|---|---|---|---|
| Taxa de emissão em marcha lenta (g/s) | 0.050 | 0.0050 | 0.0383 |
| Taxa de emissão ao acelerar (g/s) | 0.377 | 0.0100 | 0.0200 |
| Taxa de emissão ao desacelerar (g/s) | 0.072 | 0.0005 | 0.0067 |
| Taxa de emissão em velocidade constante (g/s) | |||
| 10 km/h | 0.097 | 0.018 | 0.078 |
| 20 km/h | 0.056 | 0.020 | 0.044 |
| 30 km/h | 0.050 | 0.023 | 0.042 |
| 40 km/h | 0.069 | 0.036 | 0.056 |
| 50 km/h | 0.056 | 0.067 | 0.078 |
| 60 km/h | 0.042 | 0.083 | 0.067 |
| 70 km/h | 0.000 | 0.133 | 0.067 |
Saídas¶
A saída produzida pelo Modelo de Emissão de Poluentes QUARTET em diferentes níveis de agregação é a seguinte:
-
Para toda a rede, a distância total percorrida (em km) por todos os veículos que concluíram sua viagem, e os quilogramas de cada poluente emitido por eles.
-
Para cada seção e curva, a distância total percorrida (em km) por todos os veículos que cruzaram essa seção, e os quilogramas de cada poluente emitido por eles.
-
Para cada rota, a distância total percorrida (em km) por todos os veículos que seguiram essa rota, e os quilogramas de cada poluente emitido por todos eles.
Modelo de Emissão de Poluentes de Panis et al.¶
Aimsun Next pode modelar emissões instantâneas de poluição causadas por aceleração/desaceleração e velocidade para todos os veículos neste modelo de simulação. Ele é baseado no artigo de Luc Int Panis, Steven Broekx e Ronghui Lui: Modelagem de emissão de tráfego instantânea e a influência dos limites de velocidade do tráfego.
A cada intervalo de tempo da simulação, este modelo mede as emissões de cada poluente usando a mesma fórmula. No entanto, ele considera diferentes valores de fatores de acordo com o tipo de veículo, o tipo de combustível e medidas instantâneas de aceleração/desaceleração.
Em particular, o modelo de emissões instantâneas considera dióxido de carbono (CO2), óxidos de nitrogênio (NOx), compostos orgânicos voláteis (COV) e material particulado (PM).
Parâmetros de Entrada¶
Cada tipo de veículo incluído na simulação deve ter seus parâmetros de emissões instantâneas definidos. Você pode fazer isso no diálogo do Tipo de Veículo na guia Modelos Microscópicos > Modelos Ambientais.

Note que o modelo assume que o tipo de veículo Carro pode usar Gasolina, Diesel, GLP (gás liquefeito de petróleo) ou EV (elétrico). Por padrão, assume-se 75% Diesel e 25% Gasolina inicialmente. Ônibus e veículos HDV podem usar Diesel ou EV, mas, por padrão, apenas diesel é assumido. Além disso, o modelo não inclui o cálculo de PMs no caso de EV, considerando o valor como zero.
Saídas¶
Quando a simulação for concluída, oito séries temporais serão adicionadas às seções, nós, curvas e replicação. Haverá duas para cada tipo de poluente (CO2, NOx, COV e PM), dando seus valores em g e em g/km (rotulados como "interurbano"). As séries temporais podem ser visualizadas no diálogo de cada objeto afetado, na guia de Séries Temporais.
Se você marcou Estatísticas: Armazenar no Banco de Dados na guia de Saídas a Gerar do cenário, essas sete tabelas aparecerão no banco de dados selecionado: MISYSIEM, MISECTIEM, MITURNIEM, MINODEIEM, MISTREAMIEM, MIPTIEM e MIODPAIRIEM. Para mais informações sobre essas tabelas, veja Definição do Banco de Dados de Saída.
Modelo de Emissão de Londres (LEM)¶
O Modelo de Emissão de Londres (LEM) está incluído nos simuladores microscópico, mesoscópico e híbrido do Aimsun Next. Este estima as emissões de CO2 e NOx para um veículo, utilizando um modelo de emissões de velocidade média calibrado, desenvolvido em colaboração com o Transport for London (TfL) em 2017.
O LEM foi desenvolvido como um modelo que poderia levar em conta a variabilidade na atividade dos veículos e fornecer emissões mais precisas em links curtos ou para períodos de tempo curtos do que modelos de velocidade média tradicionais.
O LEM deriva as emissões para um veículo utilizando a velocidade média para um tipo específico de veículo. O modelo instantâneo PHEM foi aplicado a um conjunto de ciclos de condução do mundo real medidos em Londres em 2017. Essas medições foram então generalizadas para dar uma relação entre velocidade média e emissões. A abordagem utilizada pelo modelo LEM foi derivar as emissões para um veículo individual usando sua velocidade média ao longo de um conjunto de micro-viagens que compõem sua jornada.
Uma micro-viagem é definida como um segmento de uma viagem onde a velocidade sobe de parada para > 5 km/h e volta para parada. Isso é ilustrado abaixo em um gráfico típico de velocidade vs. tempo em um ciclo de condução urbano.

O LEM então utiliza uma das duas relações polinomiais, derivadas por análise de regressão, para estimar o CO2 e NOx produzidos por esse veículo utilizando essa micro-viagem.

Aqui, y é a emissão (gramas/km); a, b, c e z são constantes derivadas que são definidas para cada veículo e tipo euro, x é a velocidade média na micro-viagem.
Dentro do Aimsun Next, a velocidade média de um veículo individual dentro de uma seção ou um link é utilizada para derivar localmente as emissões desse veículo. As emissões totais para a rede são consideradas a soma das emissões de todos os veículos em todas as seções.

É importante notar ao usar este modelo que ele é calibrado para condições urbanas e de cidade e não deve ser usado para rodovias que podem ter ciclos de condução diferentes.
Parâmetros de Entrada¶
A proporção de veículos de um determinado tipo de combustível e classe Euro é definida no tipo de veículo na guia Modelo de Emissões de Londres > Guia de Mistura de Frota.
O modelo considera os seguintes tipos de combustível e classes Euro:
| Tipos de Veículos de Emissão | Tipos de Combustível | Emissões Padrão |
|---|---|---|
| Carro | Gasolina | Euro 0, Euro 1, Euro 2, Euro 3, Euro 4, Euro 5, Euro 6 |
| Diesel | Euro 0, Euro 1, Euro 2, Euro 3, Euro 4, Euro 5, Euro 6, Euro 6c | |
| Elétrico | Zero emissões | |
| Taxi (Taxi de Londres)* | Combustível do Taxi de Londres | Euro 0, Euro 1, Euro 2, Euro 3, Euro 4, Euro 5, Euro 6 |
| Elétrico | Zero emissões | |
| Veículo Comercial Pesado (LGV) | Gasolina | Euro 0, Euro I, Euro II, Euro III, Euro IV, Euro V, Euro VI |
| Diesel | Euro 0, Euro I, Euro II, Euro III, Euro IV, Euro V, Euro VI | |
| Elétrico | Zero emissões | |
| Veículo de Carga Pesada (HGV) | Diesel | Euro 0, Euro I, Euro II, Euro III, Euro IV EGR, Euro V EGR, Euro V SCR, Euro VI |
| Elétrico | Zero emissões | |
| Ônibus de Andar Baixo | Diesel | Euro 0, Euro I, Euro II, Euro III, Euro IV, Euro V EGR, Euro V SCR, Euro VI |
| Elétrico | Zero emissões | |
| Ônibus de Andar Duplo | Diesel | Euro 0, Euro I, Euro II, Euro III, Euro IV, Euro V EGR, Euro V SCR, Euro VI |
| Elétrico | Zero emissões | |
| Autocarro | Diesel | Euro 0, Euro I, Euro II, Euro III, Euro IV, Euro V EGR, Euro V SCR, Euro VI |
| Elétrico | Zero emissões |
Nota: O taxi definido no LEM é para o Taxi de Londres Hackney e não incluiria veículos de aluguel privado (PHVs). Para veículos de aluguel privado, recomenda-se usar o tipo de veículo genérico LEM, carro.
O modelo não leva em consideração a inclinação das vias. No entanto, o modelo considera o peso do veículo dentro do Aimsun Next para definir constantes a, b, c e z mais detalhadas para veículos de carga pesada e veículos de carga. Se o tipo de veículo usar o tipo HGV dentro do modelo de Emissões de Londres, também pode ser considerado um articulado quando acima de um certo peso. Isso é definido da seguinte forma.


Você pode ativar ou desativar as saídas do modelo no diálogo do Cenário na guia Saídas a Gerar > guia Estatísticas.
Saídas¶
Você pode ativar ou desativar as saídas do modelo no diálogo do Cenário na guia Saídas a Gerar > guia Estatísticas.
Quando a simulação for concluída, duas séries temporais para CO2 e NOx serão adicionadas às seções (g/km), links (g/h) e replicação (g). As séries temporais podem ser visualizadas no diálogo de cada objeto afetado, na guia de Séries Temporais.
Se você marcou Estatísticas: Armazenar no Banco de Dados na guia de Saídas a Gerar do cenário, três tabelas serão adicionadas ao banco de dados selecionado: SECTLEM, LINKLEM e SYSLEM. Para mais informações sobre essas tabelas, veja Definição do Banco de Dados de Saída.
